Piezo Hannas (WuHan) Tech Co,.Ltd .- Профессиональный пьезокерамический поставщик элементов
продукты
Вы здесь: Дом / Товары / Толщиномер / Ультразвуковой толщиномер / Портативный цифровой ультразвуковой толщиномер для пластика
Высокочастотные оптовые продукты для производителей и заводов:

Обратная связь

Связанные новости

Содержание пуста!

Этот продукт был полки!

loading

Поделиться с:
sharethis sharing button

Портативный цифровой ультразвуковой толщиномер для пластика

штат:
  • PH600

  • Piezohannas

  • PH600

    Портативная цифровая ультразвуковая толщина для пластика


Обзор:


Ph600 многомодовая ультразвуковая толщина-это модернизированный продукт. Мы уделяем больше внимания пользовательским опыту и инновационным функциям, таким как визуальный опыт, оценка защиты, автоматическая тревога и т. Д. Степень защиты IP65 может эффективно предотвратить суровые полевые среды масла, пыли и другой коррозии. Он также имеет функцию голосовой трансляции, автоматическую тревогу., 0,1 мм/0,01 мм/0,001 мм, связь Bluetooth и проникновение в режим покрытия и нормальные функции режима и т. Д. Он может измерить толщину подложки без необходимости утилизации покрытия напрямую Анкет Уникальные неразрушительные результаты тестирования обеспечивают идеальное решение для тестирования толщины закрытых труб, контейнеров и т. Д. Трубы и сосуды давления. Это также можно использовать для точного измерения листового металла и обработанных деталей. Этот профессиональный инструмент точности заключается в повышении эффективности производства и квалифицированной ставке, экономии затрат.



Технические параметры:



Технические характеристики

Технические параметры

Диапазон измерения

Поддержите два режима для измерения толщины

Режим пульса-эхо: (0,65600) мм

Эхо-эш-режим: (3.0100) мм

Точность

± 0,04 мм≤10 мм) ;± 0,4%ч (> 10 мм)

Частота измерения

Измерения с одним точкой в ​​секунду 7 раз, 16 раз в второй режим сканирования.

Отображать

320x240TFT ColorЖК -экран, Регулируемая яркость подсветки

Разрешение

0,1 мм/0,01 мм/0,001 мм переключится

Диапазон скорости звука

(10009999) м/сон может измерить скорость звука материала с известной толщиной)

Калибровка

Нулевая калибровка, двухточечная калибровка, система автоматической коррекции ошибок

Рабочие режимы

Измерение с одним точкой, максимальное измерение значения, дифференциальное измерение

Единицы

Метрика/имперская единица выбирается

Рабочие языки

Китайский/английскийsизбранные

Память

 

Память для до 100 файлов (до 100 значений для каждого файла) сохраненных значений

Интерфейс связи

Поддержка Bluetooth и USB2.0 Communication, хост -программа может быть обновлена ​​в Интернете.

Источник питания

Два размера \"aa \", щелочные батареи 1,5 вольтВремя работы составляет более 30 часов (Elbacklight Off)

Печать данных

Вы можете использовать портативный тепловой принтер Bluetooth для печати отчетов о измерении

Автоматическая экономия энергии

Автоматический сон и автоэконом отключение для сэкономить время автономной работы

Внешние свойства

Материал: ABS Пластик; Размер: 150 мм × 76 мм × 38 мм;

Масса

295 г

Функции:


l  Способный выполнять измерения толщины на широком диапазоне материала, включая металлыТакая сталь, чугун, алюминий, медь и т. Д., Пластик, керамика, композиты, эпоксидные, стекло и другие ультразвуковые хорошо проводимые материалы.

l  Деликатный деликатный корпус в запечатанном металле, специальный, предназначенный для защиты от плохой среды площадки, он может против вибрации, шока и электромагнитных помех

l  С HD -красочным ЖК -дисплеем и интеллектуальным интерфейсом работы, он может интуитивно отображать результаты измерения и предоставить хороший опыт отображения пользователю.

l  С двумя режимами измерения толщины: режим импульса и модели эхо-эхо, он может измерить толщину через покрытие без расчета толщины покрытия.

l  С большой емкостью и более низкой мощностью, он может в отставку с самого долгого времени.

l  Прикреплять  С помощью программного обеспечения для передачи данных USB он может подключаться к ПК для анализа, хранения и печати данных.

l  Способный для совместимости с различными зондами с различной частотой и размером.

l  С высокой точностью и дисплеем высокого разрешения он может поддерживать разрешение дисплея 0,001.

l  С помощью калибровки зонда-нулевой и двух точечных калибровочных функций он может автоматически исправить системную ошибку.

l  Оснащенный узким импульсным составным кристаллическим датчиком с высокой точностью, он имеет небольшую мертвую зону и точные измерителиТ

l  С высокой яркости El Backlight Display он удобен для использования в Dim Light Environment.

l  Поддержка связи с принтером Bluetooth на сайте, удобно для использования.

l  Автоматическая тревога при превышении диапазона измерения.

l  С автоматическим соном, автоматического выключения и других функций сохранения питания, а также функции, указывающей на емкость, указывающую на батарею.



Принцип работы

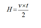
Цифровой манометр толщины ультразвуковой толщины определяет толщину детали или структуры путем точного измерения времени, необходимого для короткого ультразвукового импульса, генерируемого преобразователем для прохождения через толщину материала, отражается от задней или внутренней поверхности и возвращается к преобразователь. Измеренное двухстороннее время транзита делится на два для учета пути перемещения вниз и спины, а затем умножается на скорость звука в материале. Результат выражен в известных отношениях.


   

71JI8DN} x8GGW (O6` {%LMI



Where

HТолщина испытательной части.

vСкорость звука в материале.

tИзмеренное время транзита в круглой поездке.

 

Чтобы убедиться, что зонд, работающий должным образом, ему необходимо использовать кучу для изоляции воздуха между поверхностью зонда и измеренной поверхностью заготовки. Жидкость, используемая для соединения между зондом и заготовкой, называется как муфта.

 

Выбор преобразователя:

Модель

Фрагмент

Диам

Диапазон измерения

Нижний предел

Описание

N05

5 МГц

10 мм

1,0 мм600 мм (в стали)

Φ20 мм × 3,0 мм

Нормальное измерение

N05/90 °

5 МГц

10 мм

1,0 мм600 мм (в стали)

Φ20 мм × 3,0 мм

Нормальное измерение

N07

7МГц

6мм

1,0 мм600 мм (в стали)

Φ15 мм × 2,0 мм

Для тонкой трубной стенки или небольшой кривизны  измерение стенки трубы

Ht5

5 МГц

12мм

1,0 мм600 мм (в стали)

30 мм

За  высокая температура (нижеn300 ℃) измерение

N02

2.5МГц

14мм

1,0 мм600 мм (в стали)

20 мм

Для густых, сильно ослабляющих или высоко  рассеяние материалы

P5ee

5 МГц

10 мм

Импульс-эхо: 2,0 мм-600 мм (в стали)

Echo-Echo: 3,0 мм-100 мм (в стали)

Φ20 мм × 3,0 мм

Тестирование толщины впадины


Конфигурация:



Нет.

Тип

QTY

Замечания

Стандартный

Конфигурация

1

Главныйтело

1


2

Зонд P5EE (5 МГц)

1


3

Купон

1


4

ИнструментcАс

1


5

Руководство по эксплуатации

1


6

Щелочная батарея

2


7

USB-кабель

1


8

DataPro Software

1


По желанию

Конфигурация

1

Зонд N05 (5 МГц)

1


2

Зонд н07 

1


3

Зонд ht5 (5 МГц)

1


4

Зонд N02 (2,5 МГц)

1



5

Высокая температура

1



предыдущий: 
следующий: 

Горячие продукты

Piezo Hannas (WuHan) Tech Co,.Ltd - это профессиональная пьезоэлектрическая керамика и производитель ультразвуковых преобразователей, посвященный ультразвуковым технологиям и промышленным приложениям.

СВЯЖИТЕСЬ С НАМИ

Добавить: № 456 Wu Luo Road, район Вучан, город Ухан, провинция Хубей, Китай.
Эл. адрес:sales@piezohannas.com
Тел: +86 27 84898868
Телефон: +86 +18986196674
QQ: 1553242848
Skype: Live: Mary_14398
Copyright 2017  Piezo Hannas (WuHan) Tech Co,.Ltd.All rights reserved.
Товары