Piezo Hannas (WuHan) Tech Co,.Ltd .- Профессиональный пьезокерамический поставщик элементов
Новости
Вы здесь: Дом / Новости / Основы пьезоэлектрической керамики / Режим изгиба вибрации вибратора пьезоэлектрической керамики

Режим изгиба вибрации вибратора пьезоэлектрической керамики

Просмотры:0     Автор:Pедактор сайта     Время публикации: 2018-10-30      Происхождение:Работает

Запрос цены

facebook sharing button
twitter sharing button
line sharing button
wechat sharing button
linkedin sharing button
pinterest sharing button
whatsapp sharing button
sharethis sharing button

Если два толстых Pzt5 материал пьезоЛисты, имеющие одинаковую толщину и поляризованные электроды, соединены вместе, когда внешнее захватывающее электрическое поле может удлинить один из листов, а другой кусок укорачивается, может быть получена изгибающая вибрация. Для листов, связанных в противоположных направлениях поляризации, мощность связана последовательно, а листы, связанные в том же направлении поляризации, соединены параллельно источнику питания. Когда верхний электрод приложенного напряжения является положительным, а нижний электрод отрицательный, приложенное электрическое поле верхнего листа противоположно направлению поляризации, лист удлинен, направление поляризации нижнего листа такое же, как направление приложенного электрического поля, и лист укорачивается, чтобы получить выпуклую изогнутую форму; Затем производится вогнутая кривая. Когда применяется переменное электрическое поле, генерируется изгибающая вибрация.


Когда изгибающая вибрация верхней части должна быть удлинена (сокращена), нижняя частьПроводка пьезокерамических дисковукорочен (удлиненный), и должна быть поверхность, которая не удлинена и не сокращена в середине. Для листа той же толщины эта сторона - связующая поверхность. На клейкой поверхности не растягивается и не сокращается, есть две точки A и B, которые остаются неподвижными во время вибрации. Эти две точки называются узлами. В двух клейких листах электрическое поле только возбуждает одно из них, чтобы генерировать изгибающую вибрацию. Точно так же, если два пьезоэлектрических керамических листа связаны с тонким металлическим листом, или пьезо керамический лист связан с тонким металлическим листом, может быть получена изгибающая вибрация.


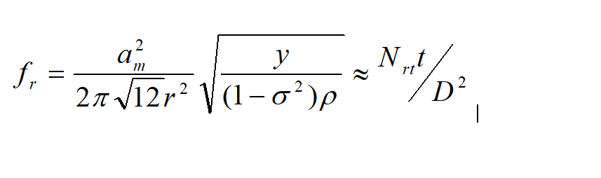
Взаимосвязь между резонансной частотой режима вибрации изгиба толщины и длины пленки и общей толщиной связанного листа составляет:


Dgif680@5@e}%`j4y5 (4i8v





Здесь постоянная частота, которая является коэффициентом, связанным с волновым номером, Y является модулем Янга, а ρ - пьезо керамическая плотность. Относительная полоса пропускания изгибающей вибрации толщины полосы составляет 0,25-3%, а применимый диапазон частот составляет от 500 Гц до 20 кГц. Размер таких вибраторов обычно: L = (6 ~ 10) W, W≥3,5t.


Во -вторых, режим вибрации ширины ширины:


Разделив электрод, один керамический кусокпьезоэлектрический ультразвуковой датчикможет быть подвергнута изгибающей вибрации в направлении ширины (или режиме изгибающей вибрации), а электрод делится на две части вдоль центральной линии электродов двух сторон длинной части керамического куска, что эквивалентно двум Ультразвуковые пьезоэлектрические керамические листы связаны вместе. Если чередующее электрическое поле применяется к разделенным парам электродов, может быть получена изгибающая вибрация в направлении ширины. Поскольку поверхностный электрод одного пьезой керамической части разделен на две пары электродов, есть два способа захватывающей вибрации изгиба:



95i] 80 [3b {wm5i @@ z%Xu@b8

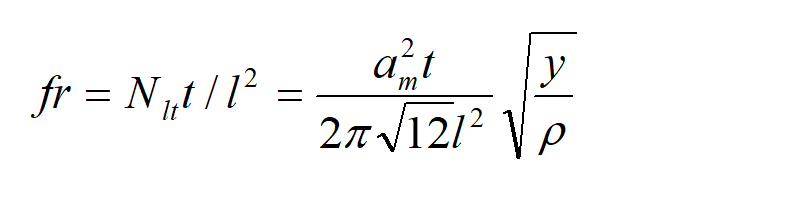
Резонансная частота режима вибрации изгиба длиной полосы:



Iovef4%oyeeqg@5xg8)) kj




W - ширина керамического листа; l - длина керамического листа; Y - модуль Янга; k - это номер волны; ρ - плотность керамики.
В -третьих, толщина режима вибрации изгиба диска:
Если два пластина в режиме радиальной вибрации связываются вместе, поляризованы и возбуждаются так же, как и длинные полосы, получается вибрация толщины пластины. Резонансная частота этой изгибающей вибрации - это


UOX6UZ0YA59H5T] $ 7FA6HPK




Режим вибрации сдвига толщины:


Режим вибрации толщины ультразвукового пьезоэлектрического диска характеризуется тем, что электродные лица параллельны направлению поляризации. Под действием чередующегося электрического поля пьезой керамический лист производит вибрацию толщины. Эта вибрация является относительной скользящей деформацией по длине и направлениям толщины двух противоположных поверхностей пьезоэлектрического тела, параллельного направлению поляризации. Частица смещается вдоль направлений длины и толщины, в то время как волна распространяется вдоль толщины. Резонансная частота режима вибрации сдвига толщины равен


[Q} jj {] rd $ d2@(] xeo {9i7

Режим вибрации ловушки:


Когда площадь электрода пьезокерамических материалов пьезоэлектрические диски невелика по сравнению с площадью керамического листа, правильная область электрода и его металлическая массовая нагрузка могут вызвать так называемое явление захвата. После того, как ловушка возникает, энергия возбуждения ограничивается под точечным электродом и распадается в геометрической прогрессии. В этот момент область пятнистого электрода и близлежащий край образуют независимую систему вибрации. Вибрация захвата на самом деле является вибрацией растяжения толщины. Поскольку электрод этого вибратора невелик, он также называется точечным вибратором или точечным электродом. Фундаментальная резонансная частота этого генератора


O%rr@5} r [y0jg_2y $ ti] z5


Общие режимы вибрации и связанные с ними функции:


Q2O5U {yufznyl $ bw1sxv4e









Обратная связь
Piezo Hannas (WuHan) Tech Co,.Ltd - это профессиональная пьезоэлектрическая керамика и производитель ультразвуковых преобразователей, посвященный ультразвуковым технологиям и промышленным приложениям.

СВЯЖИТЕСЬ С НАМИ

Добавить: № 456 Wu Luo Road, район Вучан, город Ухан, провинция Хубей, Китай.
Эл. адрес:sales@piezohannas.com
Тел: +86 27 84898868
Телефон: +86 +18986196674
QQ: 1553242848
Skype: Live: Mary_14398
Copyright 2017  Piezo Hannas (WuHan) Tech Co,.Ltd.All rights reserved.
Товары